VIVE. Revista de Investigación en Salud

https://revistavive.org

Volumen 5 No. 14 mayo-agosto 2022

https://doi.org/10.33996/revistavive.v5i14.154

ISSN: 2664-3243

ISSN-L: 2664-3243

pp. 383 – 391

 

 

Recolección de residuos domiciliarios y hábitos de higiene al manipularlos durante la pandemia por el Covid-19

 

Collection of household waste and hygiene habits when handling it during the Covid-19 pandemic

 

Coleta de lixo doméstico e hábitos de higiene no manuseio durante a pandemia de Covid-19

 

 

José Yovera Saldarriaga1

joyo_sal@hotmail.com

https://orcid.org/0000-0001-5235-0270

 

Dante Daniel Cruz Nieto2

daniel2262@hotmail.com

https://orcid.org/0000-0003-0052-5619

 

Jesús Manuel More López1

mamore_08_31@hotmail.com

https://orcid.org/0000-0003-0315-9810

 

Javier Enrrique Sotelo Montes1

ensotelo@gmail.com

https://orcid.org/0000-0001-5515-1525

 

Aldo Dante Tarazona Minaya1

atarazonam@unasam.edu.pe

https://orcid.org/0000-0002-5447-3984

 

1Universidad Nacional Santiago Antúnez de Mayolo. Huaraz, Perú

2Universidad Nacional José Faustino Sánchez Carrión. Huaura, Perú

 

Artículo recibido el 1 de febrero 2022 | Aceptado el 2 de marzo 2022 | Publicado el 22 de junio 2022

 

 

RESUMEN

La optimización de la recolección de los residuos domiciliarios y los hábitos de salud previenen infecciones y enfermedades del Covid-19; por lo que, el recojo de los residuos permite reducir hospederos de moscas que son vectores de enfermedades. Por este motivo, se realizó la investigación sobre la recolección de residuos domiciliarios y hábitos de higiene al manipularlos durante la pandemia. El objetivo fue determinar la eficiencia del servicio de recolección de residuos e higiene al manipular los residuos. La metodología se basa en la investigación descriptiva, por lo que se usó instrumentos de cuestionarios sobre qué opinión tiene sobre el plan de recojo de residuos, cuál es su opinión sobre el plan de recojo de residuo y hace el lavado de manos constantemente al manipular los residuos. Los resultados determinaron que diciembre destacó que se debe mejorar el recojo de residuos con 19 %, sacan sus residuos a la hora del recojo con 91 %, está de acuerdo con la gestión municipal sobre el recojo de residuos con 88 y en hábitos de salud hace el lavado de mano con 82 % y uso de alcohol con 12 %. Se concluye que el recojo de residuos fue eficiente para tener un ambiente saludable; sin embargo, se debe tener en cuenta el lavado de manos. Por lo tanto, estas actitudes de higiene prevendrán enfermarse.

 

Palabras clave: Recojo de residuos; Prevención; Lavados de manos; Pandemia

 

ABSTRACT

The optimization of household waste collection and health habits prevent infections and diseases of Covid-19; therefore, the collection of waste allows to reduce hosts of flies that are vectors of diseases. For this reason, research was conducted on the collection of household waste and hygiene habits when handling it during the pandemic. The objective was to determine the efficiency of the waste collection service and hygiene when handling waste. The methodology is based on descriptive research, so questionnaire instruments were used on what opinion they have about the waste collection plan, what is their opinion about the waste collection plan and do they wash their hands constantly when handling waste. The results determined that December highlighted that waste collection should be improved with 19%, they take out their waste at the time of collection with 91%, they agree with the municipal management of waste collection with 88% and in health habits they wash their hands with 82% and use alcohol with 12%. It is concluded that waste collection was efficient to have a healthy environment; however, hand washing should be taken into account. Therefore, these hygiene attitudes will prevent getting sick.

 

Key words: Waste collection; Prevention; Hand washing; Pandemic; Hand washing

 

RESUMO

A otimização da coleta de lixo doméstico e hábitos de saúde previnem infecções e doenças do Covid-19; Portanto, a coleta de resíduos permite reduzir hospedeiros de moscas que são vetores de doenças. Por isso, foi realizada uma pesquisa sobre a coleta de lixo doméstico e hábitos de higiene ao manuseá-lo durante a pandemia. O objetivo foi determinar a eficiência do serviço de coleta de resíduos e higiene no manuseio dos resíduos. A metodologia é baseada em pesquisa descritiva, então foram utilizados instrumentos de questionário sobre a opinião que você tem sobre o plano de coleta de resíduos, qual a sua opinião sobre o plano de coleta de resíduos e você lava constantemente as mãos ao manusear os resíduos. Os resultados determinaram que dezembro destacou que a coleta de resíduos deve ser melhorada com 19%, eles retiram seus resíduos no momento da coleta com 91%, concordam com a gestão municipal na coleta de resíduos com 88% e nos hábitos de saúde faz a lavagem das mãos com 82% e uso de álcool com 12%. Conclui-se que a gestão da coleta de lixo domiciliar é favorável; no entanto, a lavagem das mãos deve continuar a ser otimizada e levada em conta de forma eficiente para evitar adoecimento; uma vez que é provável que o vírus esteja presente por 72 horas na superfície.

 

Palavras-chave: Recolha de resíduos, Prevenção, Lavagem das mãos e Pandemia

 

INTRODUCCIÓN

 


En la pandemia de la Covid-19 hasta hoy en día se nota el incremento de abastecimiento de productos de primera necesidad como alimentos, medicamentos y materiales de servicio sanitario y otros. Para lo cual, la población recurrió a los mercados, restaurantes y centros comerciales usando con obligación mascarillas y llevar bolsas plásticas o comprar para el traslado de los productos a casa. Esto se debe a la cadena de suministro de alimentos es compleja y se ha visto afectada en todos sus niveles, desde el campo al consumidor sobre todo en los países con menores recursos económico (1). Asimismo, el abastecimiento de productos de primera necesidad tiene un rol social y antropológico en la vida de los vecindarios peruanos (2).

 

Esta situación del abastecimiento de productos ha incrementado los residuos sólidos domiciliarios como restos de comida, en comparación a residuos de plásticos, metales y otros materiales al finalizar el año. Por lo que, es importante la optimización de un plan de recojo de residuos sólidos en todas las zonas de la ciudad, reciclar y saber acerca de qué hora recoge residuos el vehículo. Cabe mencionar que la composición de residuos resalta el alto porcentaje de sobras de comida (15.53 %) que puede deberse a un aumento en la frecuencia con la que se cocina, mayor cantidad de alimentos preparados, almacenamiento o un exceso en alimentos comprados (3). Cabe mencionar que no solo es determinar las zonas de riesgo de Covid-19 y para la atención de la salud, sino también mejorar estrategias e intervenciones en otras materias como la gestión de residuos sólidos (4).

 

Debido al abastecimiento de productos en casa los residuos también incrementaron; por lo que, es necesario tomar medidas de higiene y prevención como el recojo de residuos, sacar a la hora que transita el carro recolector y limpiar el lugar donde ubica el bote basura. Pues estas acciones de la recolección de los residuos sólidos y su disposición adecuada protegen la salud y ayudan a conservar el medio ambiente (5). También permiten prevenir infecciones que en la pandemia puede desencadenar en cuadros clínico severos a la salud. Lavarse las manos con agua y jabón, antes y después de manipular los residuos (6). El uso de los productos de limpieza y desinfección utilizados habitualmente en los establecimientos sanitarios, tienen la capacidad suficiente para inactivar el virus (Covid-19) (7).

 

Por este motivo, se realizó la investigación sobre la recolección de residuos domiciliarios y hábitos de higiene al manipularlos durante la pandemia por el Covid-19, el objetivo fue determinar la eficiencia del servicio de recolección de residuos e higiene al manipular los residuos para prevenir enfermedades. Por lo que, se debe tener cuenta estos cuidados preventivos que ayudarán a disminuir la carga viral como higiene de las manos y desinfección del ambiental y otras medidas de protección (8). Para lo cual, se realizó cuestionarios sobre qué frecuencia al día recogen sus residuos, la hora que lo traslado a su disposición final el carro recolector y con qué frecuencia hacen el lavado de manos.

 

MATERIALES Y MÉTODOS

La investigación se realizó bajo en enfoque de análisis descriptivo de corte trasversal; puesto que se tomó los datos mediante cuestionarios y se caracterizó los residuos sólidos; lo cual se procesaron mediante estadísticas básicas para procesar y presentar resultados. La población de Barranca tiene 71 383 habitantes según Instituto Nacional de Estadística e informática (INEI) (9). Estos habitantes residen en 17 129 viviendas en todo el distrito de Barranca lugares exterior y centro de la ciudad (10).

 

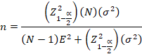
Para determinar la muestra de 50 viviendas utilice el método de Kunitoshi Sakurai, lo cual se tuvo en cuenta la cantidad de viviendas del distrito de Barranca y se procesó con la fórmula de la muestra finita. Asimismo, los valores de variación, coeficiente de confianza y error que se permite de per cápita se detalla en la publicación del Centro Panamericano de Ingeniería Sanitaria y Ciencias del Ambiente (CEPIS) (11).

 

 

 

 

 

Dónde:

N = Cantidad de casas = 17 129 casa (INEI, 2017).

 

 (Coeficiente de confianza del 95%, valores de generación de residuos)

E = 0.056 kg/hab., por día. (Error se permite el 10 % de 0.56 Kg/hab., por día). Por lo tanto, la estimación nacional es 0.56 kg / hab., por día.

σ = 0.2, es desviación estándar (Variación de generación de residuos de vivienda)

n: muestra = 50 viviendas

 

Técnicas de recolección de datos

En la recolección de datos se utilizó método de cuestionarios, lo cual se preguntó a las personas por vivienda sobre el servicio de acopio de residuos, manejo de residuos y hábitos de salud al manipular los residuos. Para la recolección de datos se elaboraron preguntas sobre qué frecuencia recoge sus residuos en casa.

Para lo cual, se realizó cuestionarios sobre qué frecuencia al día recogen sus residuos, cuantas veces pasa el carro recolecto para el traslado a su disposición final y con qué frecuencia hacen el lavado de manos, para evitar enfermarse.

 

Análisis estadísticos

Obtenidos los datos de los cuestionarios y la cantidad de residuos por día y mes, se procesaron con estadísticas básicas, también se elaboró tablas y gráficas para su interpretación y análisis.

 

Procedimientos

Se realizaron los siguientes pasos:

Para determinar la muestra de 50 casas se tuvo en cuenta la cantidad de viviendas en el distrito de Barranca, la aplicación de los valores del método de Kunitoshi Sakurai y la fórmula de la muestra finita.

Seguido se marcaron estas viviendas para las evaluaciones de cuestionarios sobre el servicio de manejo de residuos por la municipalidad, opiniones sobre el manejo de residuos y hábitos de salud al momento de manipular los residuos. Las evaluaciones se realizaron en noviembre y diciembre del 2021, con el motivo de tener un diagnóstico sobre el servicio de manejo de residuos.

 

Luego se elaboraron cuestionarios que se preguntaron a 4 personas por casa por mes sobre qué opinión tiene usted sobre el servicio del recojo de residuos domiciliarios, qué opinión tiene sobre el plan de recojo de residuos, cuál es su opinión sobre el plan de recojo de residuo y se lava las manos constantemente al manipular los residuos.

Obtenidos los datos se procesaron con estadísticas básicas también se elaboraron tablas y gráficas de barras con la finalidad de interpretarlo y analizarlo.

 

RESULTADOS Y DISCUSIÓN

Servicio del recojo de residuos

Concerniente a los servicios del recojo de residuos que se debe mejorar que se detalla en la Tabla 1, se indica en diciembre que debe de mejorarse el plan de organización para el recojo de residuos con 25 %; sin embargo, hubo menor porcentaje sobre la mejora del recojo de residuos con 19 %. Este resultado quiere decir es favorable el recojo de residuos domiciliarios por el vehículo recolector, pero se debe seguir mejorando el servicio del recojo de residuos en toda la ciudad con la finalidad de reducir la propagación de enfermedades y la contaminación ambiental.

 

Tabla 1. Servicio del recojo de residuos que debe fortalecer la municipalidad (%).

 

 

Mes

Mejorar el recojo de residuos

Eficiencia del

personal

Mejorar el plan de organización del recojo de residuos

Capacitar y promover el desempeño

 

No opina

Noviembre

17

20

23

21

19

Diciembre

19

22

25

23

11

 

Plan del recojo de residuos

Correspondiente a las opiniones sobre el plan de recojo de residuos que se indica en el Gráfico 1, se aprecia que en diciembre hubo mayor porcentaje que sacaron sus residuos para el recojo del vehículo recolector con 91 %, conoce el plan de recojo de residuos con 81 %, está satisfecho del plan de recojo de residuos con 86 y de acuerdo con la gestión municipal sobre el recojo de residuos con 88 %. Este resultado se interpreta que hubo incremento en el recojo de residuos y está satisfecho con la gestión municipal sobre el recojo de residuos; sin embargo, es necesario mejorar estas labores con el motivo de mantener un ambiente saludable.

 

 

Gráfico 1. Opiniones sobre el plan de recojo de residuos.

 

Hábitos saludables al manipular los residuos

En cuanto a los hábitos saludables que se observa en la Tabla 2, se aprecia que en diciembre el 85 % de la población se lava las manos al manipular los residuos, 12 % usa alcohol y guantes el 2 % y el resto no opina. El resultado se interpreta que al finalizar el año se notó un incremento en los hábitos de salud, lo cual permite prevenir infecciones y enfermedades del Covid-19; puesto que en esos meses se notó que la nueva variante del Covid -19 llamado ómicron es más contagiosa.

 

Tabla 2. Hábitos saludables al manipular los residuos para evitar enfermarse.

 

 

Mes

 

Hábitos de salud

 

Uso de alcohol

Lavado de manos

Uso de guantes

No opina

Noviembre

9.5

81.5

2.5

6.5

Diciembre

11.5

84.5

2

2

 

Discusión

Concerniente a los servicios sobre el manejo de residuos domiciliarios que se detalla en la Tabla 1, se determinó que se debe de mejorar en diciembre el plan de organización de recojo de residuos con 25 %; sin embargo, se obtuvo menor porcentaje de mejorar el recojo de residuos con 19 %. Por lo tanto, este resultado indica que es favorable el servicio en el distrito de Barranca; pero se debe de mejorar el recojo, el plan de organización de recojo de residuos y capacitar al personal, lo cual beneficiará de manera eficiente y de esta manera se reducirá la propagación de enfermedades y contaminación ambiental. Por lo cual es importante tener en cuenta que en la pandemia vivida a consecuencia del Covid-19 han agravado significativamente los problemas asociados a la gestión de residuos sólidos (12). Por lo tanto, se debe de modificar las prácticas existentes y adoptar un sistema de gestión de residuos más eficiente, inclusiva y sostenible, son retos sustanciales que deben abordarse con suma urgencia para evitar efectos adversos en la salud y el ambiente (13)

 

Referente al plan de recojo de residuos que se indica en el Gráfico 1, se determinó que en diciembre se obtuvo el mayor porcentaje de saca sus residuos a la hora del recojo con 91 %, conoce el plan de recojo de residuos con 81 %, satisfecho del plan de recojo de residuos con 80 % y está de acuerdo con la gestión municipal sobre el recojo de residuos con 88 %. Por lo tanto, estos resultados indican que es favorable el manejo de residuos domiciliarios; sin embargo, es necesario mejorar aspectos como la optimización del recojo de residuos en todos los lugares con la finalidad de evitar infecciones, por el Covid-19, otras enfermedades, al mismo tiempo reducir la contaminación ambiental. Debido a esos resultados los gobiernos locales deben considerar la gestión de residuos sólidos es un servicio público esencial en el marco de la pandemia del Covid-19, con el fin de minimizar posibles impactos a la salud de su población y el medio ambiente (14). Asimismo, los gobiernos deben considerar la gestión de residuos un servicio público urgente y esencial en el marco de la pandemia con el fin de minimizar posibles impactos secundarios sobre la salud y el medio ambiente (15).

En cuanto al hábito saludable que se debe tener en cuenta al manipular los residuos que se observa en la Tabla 2, se indica que en diciembre hubo mayor porcentaje en lavado de mano después de manipular los residuos con 85 %, uso de alcohol con 12 %, uso de guantes con 2 % y no opina con 2 %. Por lo tanto, se analiza que la población está tomando en cuenta el lavado de manos como medida de prevención de infecciones y Covid-19; puesto que, en estos últimos meses del año el virus tiene efecto de rápido contagio. En otras ciudades del país como en Puno investigaciones en 2020 determinaron que el 60% realiza el lavado de las manos después de manipular los Residuos sólidos domiciliarios (16). Por este motivo, este hábito de higiene y prevencion como el lavado de manos es clave para la prevención del Covid-19. Se recomienda hacerlo con frecuencia, principalmente, tras el contacto directo con personas enfermas, residuos y entorno (17). También debe haber instalaciones de lavado de manos en buen estado de funcionamiento y provistas de agua y jabón a una distancia de menos de 5 metros de todos los aseos, sean públicos o privados (18).

 

CONCLUSIONES

Se determinó que un menor porcentaje sobre mejorar el recojo de residuos con 19 %, se debe mejorar e plan de organización de recojo con 25 % y en sacar sus residuos a la hora de recojo con 91 % y está de acuerdo con la gestión municipal sobre el recojo de residuos con 88 %. Por lo tanto, este resultado indica que es favorable la gestión municipal sobre el recojo de residuos; sin embargo, es necesario seguir optimizando este servicio sobre el recojo de residuos en todas las zonas de la ciudad, con el motivo de prevenir infecciones y enfermarse del Covid-19.

Se concluye en los hábitos de salud de la población que al manipular los residuos se destacó el lavado de manos con 85 %, uso de alcohol con 12 % y uso guantes con 2 %. Por lo tanto, este resultado resalta la higiene de lavados de manos y desinfección con alcohol lo hacen de manera continua. Por lo que, estas acciones tienen la finalidad de evitar infecciones estomacales y enfermarse por el Covid-19; sin embargo, es necesario que sea al 100 % en toda la ciudad.

 

REFERENCIAS BIBLIOGRÁFICAS

1. Arrúa AA, Fernández Ríos D. COVID-19 y cadena de suministro de alimentos: estatus y perspectivas. Investigación y Estudios. - UNA [Internet]. 22 de diciembre de 2020 [citado 1 de febrero de 2022];11(2):43-55. Disponible en: https://revistascientificas.una.py/index.php/ rdgic/article/view/751

 

2. Acuña Sillo. El Emprendimiento y resiliencia: caso de las bodegas de barrio en el Perú durante la pandemia de covid-19. Desde el Sur [Internet]. 2021 Jul 1; 13(1):1–18. Available from: https://revistas.cientifica.edu.pe/index. php/desdeelsur/article/view/933

 

3. Requena NP, Carbonel DE. Cambios en la generación y composición de residuos domiciliarios durante la pandemia del Covid-19, estudio de caso en 8 distritos de la provincia de Arequipa, Perú. TECNIA [Internet]. 2021 Jul 25;21(2). Available from: http:// revistas.uni.edu.pe/index.php/tecnia/article/ view/1035

 

4. Bocanegra K, Gamarra F, Tipian P. Gestión de los residuos sólidos en el Perú en tiempos de covid – 19. Defensoría del pueblo [Internet]. 2020;1–56. Available from: https://www.defensoria.gob.pe/wp-content/ uploads/2020/07/Informe-Especial-N°-24- 2020-DP.pdf

 

5. OPS. Los Residuos Sólidos en la Vivienda. Bvsde:Residuos Solidos [Internet]. 2013;79–86. Available from: http://www.bvsde.paho.org/ bvsasv/fulltext/hogar/tema4.pdf

 

6. Organización Panamericana de la salud OM de la S. Recomendaciones Para La Gestión De Residuos Sólidos. Of Reg para las Am [Internet]. 2020;1–4. Available from: www.paho.org/ coronavirus

 

7. Misnterio de Salud de la Argentina. Anexo 4 recomendaciones limpieza y gestión de. 2020;1–23. Available from: http://leg.msal.gov. ar/pdf/scsres52_2020anexo4.pdf

 

8. Cuenca-Pardo J., Ramos-Gallard G., Vélez- Benítez E, Álvarez-Díaz C de J, Bucio-Duarte J., Iribarren-Moreno R., Rodríguez-Marín D., Contreras-Bulnes L. La importancia de reducir la carga viral para disminuir el riesgo de contagio por COVID-19. Cirugía Plástica [Internet]. 2020;30(2):78–93. Available from: https://www.medigraphic.com/cgi-bin/new/ resumen.cgi?IDARTICULO=97674

 

9. INEI. Compendio Estadístico Lima Provincia 2016. Compendio Estadístico. [Compendio], 2016 INEI (Instituto Nacional de Estadística e Informática). Perú. Página 88. [Consulta:01−11−2020]. https://n9.cl/t7ecj

 

10. INEI. Censos Nacionales 2017: XII de Población, VII de Vivienda y III de Comunidades Indígenas. Documento Perú: Características de las viviendas particulares y los hogares. Acceso a servicios básicos. [compendio], 2017, [Consulta: 01− 11 − 2020]. INEI (Instituto Nacional de Estadística e Informática). Perú. Página https://www.inei.gob.pe/media/ MenuRecursivo/publicaciones_digitales/Est/ Lib1538/Libro.pdf

 

11. Cantanhede A, Monge G, Sandoval L, y Caycho C, 2005, Procedimientos Estadísticos para los estudios de Caracterización de Residuos Sólidos, Revista AIDIS de Ingeniería y Ciencias Ambientales: Investigación, Desarrollo y Práctica: Volumen 1, Número 1. Visto 20 de enero 2022 http://www.revistas. unam.mx/index.php/aidis/article/view/13553

 

12. Huasasquiche-Abregú M, Medina-Sotelo C. segregación de residuos sólidos: Nuevo paradigma Ambiental para el siglo XXI. 593 Digit Publ CEIT [Internet]. 2021 Dec 22;6(6– 1):336–47. Available from: https://www.593dp. com/index.php/593_Digital_Publisher/article/ view/736

 

13. Sanchez-Gutierrez FO. Retos pospandemia en la gestión de residuos sólidos. CienciAmérica [Internet]. (2021) Vol. 10(1): 11-23. Available from: http://dx.doi.org/10.33210/ca.v10i1.354

 

14. Gobierno Regional Cajamarca. Recomendaciones generales para el Manejo de Residuos en el marco del COVID-19. Gerencia Regional de Recursos Naturales y Gestión del Medio Ambiente [Internet]. 2020; pp. 1–34. Available from: https://siar.regioncajamarca. gob.pe/sites/default/files/archivos/public/ docs/guia_covid-19.pdf

 

15. PNUMA. (2020, 24 de marzo). La gestión de residuos es un servicio público esencial para superar la emergencia de COVID-19. UNEP – ONU. Programa de la ONU para el Medio Ambiente. Recuperado el 12 de enero del 2021. https://www.unep.org/es/noticias-y-reportajes/comunicado-de-prensa/la-gestion-de-residuos-es-un-servicio-publico-esencial

 

16. Bartra Gómez J, Delgado Bardales JM. Gestión de Residuos Sólidos Urbanos y su Impacto Medioambiental. Ciencia Latina [Internet]. 27 de diciembre de 2020 [citado 17 de febrero de 2022];4(2):993-1008. Disponible en: https://ciencialatina.org/index.php/ cienciala/article/view/135

 

17. Sacsaquispe-Contreras S. NUEVO CORONAVIRUS 2019 (COVID-19): Consejos para el odontólogo. Rev Estomatológica Hered [Internet]. 2020 Mar 13;30(1):5–6. Available from: https://doi.org/10.20453/reh.v30i1.3671

 

18. Unicef. Agua, saneamiento, higiene y gestión de desechos en relación con el SARS-CoV-2, el virus causante de la COVID-19. Unicef [Internet]. 2020;1–13. Available from: https:// n9.cl/va0i

 

Conflicto de Intereses. Los autores declaran que no existe conflicto de intereses para la publicación del presente artículo científico.

Financiamiento. Los autores declaran que no recibieron financiamiento.

Agradecimiento. Los autores agradecen a la comunidad y autoridades del distrito de Barranca por brindarnos su amabilidad y cordialidad durante la entrevista.